Mon premier article
Comprendre l’Internet et le Web
Découvrez la différence entre les deux et comment ils fonctionnent.
- Fonctionnement de l’Internet
- Qu’est-ce que le Web?
- Serveurs Web, sites Web, pages Web
- Adresses IP et noms de domaines
Définition et utilité
L’Internet est un moyen de relier tous les ordinateurs entre eux et de s’assurer que ce lien perdure, peu importe les problèmes qui pourraient toucher le réseau.
Mozilla.org
Fonctionnement de l’Internet
Deux ordinateurs peuvent être reliés entre eux à l’aide d’un câble physique et d’une liaison logique afin de créer une connexion réseau.

Figure 1 – Connexion entre deux ordinateurs grâce à un câble réseau
Toutefois, lorsque l’on veut connecter plusieurs ordinateurs ensemble, on ne peut pas connecter un câble réseau partant de chaque ordinateur vers tous les autres. Même avec seulement 10 ordinateurs, cette solution créerait rapidement une quantité beaucoup trop grande de liens physiques à gérer. Imaginez tous les ordinateurs du monde entier!

Figure 2 – Connexion de 10 ordinateurs entre eux = 45 câbles réseau requis!
Heureusement, on peut réduire le nombre de connexions requises à un minimum en utilisant un petit ordinateur spécialisé appelé un routeur. Le rôle du routeur consiste à attribuer une adresse unique à chaque ordinateur sur le réseau et à relayer des paquets d’information entre ceux-ci. Avec un routeur, il est possible de connecter 10 ordinateurs entre eux avec seulement 10 fils. Un tel arrangement dans une maison ou une petite entreprise s’appelle un réseau local.

Figure 3 – Connexion de 10 ordinateurs grâce à un routeur
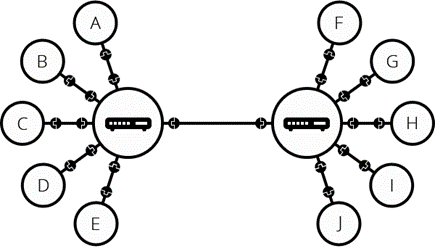
Deux routeurs peuvent aussi être connectés entre eux pour connecter deux réseaux ensemble.

Figure 4 – Connexion de deux réseaux locaux à partir de deux routeurs
Et de la même façon que l’on peut connecter plusieurs ordinateurs entre eux grâce à un routeur, on peut aussi connecter plusieurs réseaux entre eux en connectant leurs routeurs respectifs à l’aide d’un autre routeur. On commence alors à créer une toile d’ordinateurs reliés entre eux qui est de plus en plus complexe.
Figure 5 – Connexion de réseaux locaux entre eux avec un routeur
Certaines entreprises comme Bell, Vidéotron, Cogeco et de nombreuses autres offrent la possibilité de relier des réseaux locaux à d’autres réseaux, distants ceux-là. Ces entreprises hébergent des centaines de routeurs connectés entre eux qui donnent accès au plus grand réseau de réseaux : l’Internet. Elles sont donc des fournisseurs d’accès à Internet (FAS) (en anglais, des Internet Service Providers, ou ISP).
Figure 6 – Accès à Internet grâce à un fournisseur d’accès à Internet
Qu’est-ce que le Web?
Il est important de distinguer Web et Internet. Comme nous venons de le constater, l’Internet est un réseau permettant de relier tous les ordinateurs entre eux. Cette infrastructure physique est utilisée par plusieurs types de services, dont le Web, qui consiste à donner accès à des milliards de serveurs Web permettant aux utilisateurs de consulter des sites Web, eux-mêmes constitués de plusieurs pages Web.




Mais l’Internet n’offre pas que des sites Web. C’est à travers lui que d’autres services sont offerts par des serveurs spécialisés, comme le courriel, la messagerie instantanée, les forums et groupes de discussion, les nouvelles, le transfert de fichiers et de nombreux autres encore.
L’infrastructure qu’est l’Internet existe depuis les années 60 environ, alors que le service qu’est le Web, tel que nous le connaissons aujourd’hui, existe depuis le début des années 90.
Serveurs Web, sites Web, pages Web
Un serveur Web est un ordinateur dont la fonction principale consiste à héberger et à diffuser des pages Web, en réponse aux demandes, ou requêtes, que les internautes placent en utilisant un logiciel spécialisé à cet effet : le navigateur.
Un seul serveur Web peut héberger plusieurs centaines, voire des milliers de sites Web. Les sites Web, quant à eux, sont des collections de pages Web, d’images et d’autres ressources (audio, vidéo, documents, etc.) organisées et liées entre elles par des hyperliens, afin de les rendre facilement accessibles aux internautes.

Certaines entreprises comme Bell, Vidéotron, Cogeco et de nombreuses autres offrent la possibilité de relier des réseaux locaux à d’autres réseaux, distants ceux-là. Ces entreprises hébergent des centaines de routeurs connectés entre eux qui donnent accès au plus grand réseau de réseaux : l’Internet. Elles sont donc des fournisseurs d’accès à Internet (FAS) (en anglais, des Internet Service Providers, ou ISP).
Adresses IP et noms de domaines
Une adresse IP pour chaque ordinateur
Nous avons vu plus tôt que lorsque les ordinateurs sont reliés entre eux à l’aide de routeurs, ces derniers attribuent une adresse unique à chaque ordinateur, ou à chaque routeur leur étant connectés. Il s’agit des adresses IP, pour Internet Protocol.
L’adresse IP d’un ordinateur situé sur un réseau local ressemble habituellement à :
192.168.0.1
Dans l’adresse ci-dessus, le 192.168 représentent le réseau local, alors que le 0 représente l’adresse du routeur, et le 1 représente l’adresse d’un ordinateur ou d’un appareil en particulier, comme un téléphone ou une tablette.
L’adresse d’un serveur Web distant ressemble habituellement à :
173.194.121.32
Cette adresse est unique à chaque serveur, comme un numéro de téléphone est unique à chaque appareil. Toutefois, ces numéros sont complexes à retenir, et une fois que l’on a atteint un serveur, encore faut-il savoir quel site Web rejoindre et quelle page Web, ou quelle ressource atteindre sur celui-ci?
Un nom de domaine pour chaque site Web
Pour faciliter l’accès aux différents sites Web, les créateurs du Web ont pensé créer des serveurs spécialisés qui permettent d’enregistrer des noms plus faciles à retenir comme apple.com, google,com, microsoft.com, ou mozilla.org. Ces noms sont des noms de domaines, et les serveurs qui traduisent les noms en adresses IP s’appellent des serveurs de noms de domaines (en anglais, des Domain Name Servers, ou DNS).
Figure 7 – Nom de domaine menant à une adresse IP
Au lieu d’entrer une adresse IP dans votre navigateur, vous entrez donc un nom de domaine. Celui-ci est traduit en adresse IP par un serveur de noms pour vous donner accès au bon serveur Web.
google.com = 173.194.121.32
Une adresse spécifique à chaque ressource
Pour atteindre une page Web précise ou une ressource en particulier (une image, une vidéo, un fichier audio, un document, etc.), chaque ressource dispose d’une adresse unique : l’URL, pour Uniform Ressource Locator.
En termes simples, l’URL est l’adresse complète d’une page ou d’une ressource Web :
L’URL ci-dessus se compose des éléments suivants :
- https:// : le protocole de communication utilisé;
- www : le sous-domaine visé. Ce n’est pas toujours www. Dans le cours nous utilisons 412-CA0;
- siteweb : le nom de domaine de l’entreprise ou du service;
- .com : le domaine de haut niveau (peut-être.com, .org, .ca, .fr ou des centaines d’autres);
- /produits/ : le répertoire où se trouve une page Web ou une ressource;
- gadget.html : la page Web visée.